Free New Jersey Power Of Attorney Forms 9 Types PDF Word EForms

Printable Power Of Attorney Form Nj

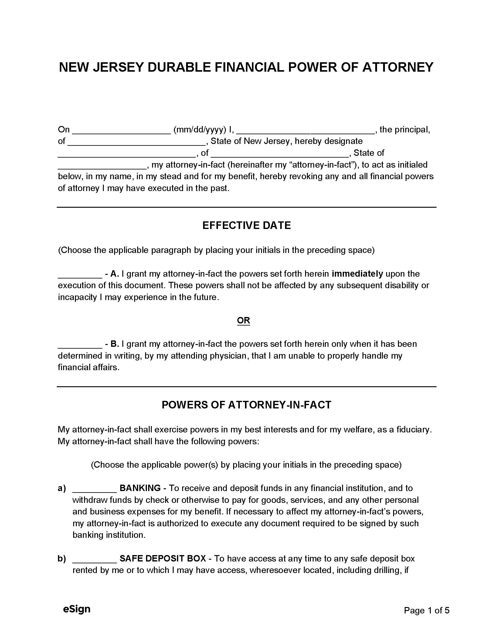
Thinking about creating a power of attorney form in New Jersey? Whether it’s for medical decisions or financial matters, having a printable form can make the process easier. With the right document in place, you can ensure your wishes are respected.

Before you start the process, it’s essential to understand the importance of a power of attorney form. This legal document allows you to appoint someone you trust to make decisions on your behalf if you become unable to do so yourself. It gives them the authority to act in your best interests.

Printable Power Of Attorney Form Nj

Printable Power Of Attorney Form Nj

Printable Power Of Attorney Form Nj

When creating your power of attorney form in New Jersey, it’s crucial to follow the state’s specific requirements. You can find printable templates online that are tailored to New Jersey laws. These forms typically include sections for appointing an agent, specifying powers, and signing requirements.

Once you’ve filled out the form, it’s essential to sign it in the presence of a notary and witnesses as required by New Jersey law. This step ensures the document’s validity and prevents any challenges in the future. After completing these steps, you can rest assured that your wishes will be honored.

Having a power of attorney form in place can provide peace of mind for both you and your loved ones. It’s a proactive way to plan for the unexpected and ensure that your affairs are handled according to your wishes. Take the time to create a printable form today to protect yourself and your loved ones.

Don’t wait until it’s too late to create a power of attorney form in New Jersey. By taking this simple step now, you can ensure that your wishes are respected and your affairs are managed according to your instructions. Get started today and create a printable form that gives you peace of mind.

Free New Jersey NJ Durable Power Of Attorney Forms Templates PDF

Free New Jersey NJ Durable Power Of Attorney Forms Templates PDF

Free New Jersey Limited Power Of Attorney Form PDF Word

Free New Jersey Limited Power Of Attorney Form PDF Word

Free New Jersey Limited Power Of Attorney Form PDF Word EForms

Free New Jersey Limited Power Of Attorney Form PDF Word EForms

Free New Jersey Power Of Attorney Forms 10 PDF Word

Free New Jersey Power Of Attorney Forms 10 PDF Word

Free New Jersey Power Of Attorney Forms 9 Types PDF Word EForms

Free New Jersey Power Of Attorney Forms 9 Types PDF Word EForms

Leave a Reply

Your email address will not be published. Required fields are marked *