If you’re a business owner looking to streamline your commercial insurance paperwork, you’re in luck! We have a handy solution for you – a printable ABN form specifically designed for commercial insurance purposes.
With this printable ABN form, you can easily provide your insurance company with the necessary information they need to process your commercial insurance policy. It’s a simple and convenient way to ensure that you have all your bases covered.
Printable Abn Form For Commercial Insurance
Printable ABN Form For Commercial Insurance
Our printable ABN form for commercial insurance is designed to be easy to fill out and understand. Simply download the form, fill in the required fields, and submit it to your insurance provider. It’s as easy as that!
By using our printable ABN form, you can avoid any potential delays in processing your commercial insurance policy. This form is specifically tailored to meet the requirements of insurance companies, making it a hassle-free solution for busy business owners like yourself.
Don’t waste time sifting through complicated paperwork. Our printable ABN form for commercial insurance is straightforward and user-friendly, allowing you to focus on running your business without the added stress of paperwork.
Take the first step towards simplifying your commercial insurance process today. Download our printable ABN form and experience the convenience of having all your insurance information in one easy-to-access document.
Say goodbye to the headache of dealing with complex insurance paperwork. With our printable ABN form for commercial insurance, you can save time and energy while ensuring that your insurance needs are met. Download the form today and streamline your insurance process!
Da Form 3286 Fillable Fill Online Printable Fillable Blank PdfFiller
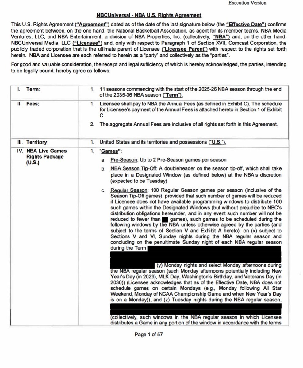
On X News NBA Files Redacted Versions Of Its New Media Rights Deals With Amazon And NBC As Part Of An Updated Motion To Seal Confidential Documents In Its NY Sup
Abn Form Fill Out Sign Online DocHub
2020 2025 Form CMS R 131 Fill Online Printable Fillable Blank PdfFiller
Advance Beneficiary Notice Non Medicare Form Fill Online Printable Fillable Blank PdfFiller





